>

首页 / 新闻 / 行业新闻 / 偶氮 - 三嗪反应性分散染料在棉织物上的印刷性能

偶氮 - 三嗪反应性分散染料在棉织物上的印刷性能

偶氮 - 三嗪反应性分散染料在棉织物上的印刷性能

Ji一个ngHua²,JiZhengfang²,Ding Guoxin
(1。中国杭州科幻大学纺织科学与工程学院,中国吉亚格310018;
2。PhejiangH在gyi Chemical 公司,listd.,lishui,Zhejiang 323700,中国)

抽象的:
使用七个自同在的偶氮三嗪反应性分散染料来制备印刷糊,然后将其应用于棉布印刷。测试了印刷棉织物的颜色深度(k/s值),固定速率,颜色牢度,热迁移和拉伸强度。结果表明,印刷的织物表现出良好的颜色产量,亮度和水平的染色特性,以及对有机溶剂提取的强烈抗性。印刷棉织物的固定速率达到67%–84%,染料迁移率低至2.4%–3.8%。肥皂,摩擦和升华的颜色牢度达到4级以上,表明颜色牢度表现出色。

关键字: 反应性分散染料;棉织物;印刷;颜色牢度

中国图书馆分类编号 Ts193.63
文档代码 b
doi 10.3969/j.yinran.202409005

印刷 财产 偶氮三嗪 类型 反应性 分散 染料 on 棉布 织物

江华 1,,,,2 ,,,, Ji Zhengfang 2 ,,,, guqing 1

æ 1.College 纺织品 科学和 工程 ,,,, Zhejiang sci - 技术 大学 ,,,, 杭州 310018 ,,,, 中国 ; Ö

ç 2.zhejiang Hongyi Chemical Co. ,,,, 有限公司 ,,,, Lishui 323700 , 中国 ÷

摘要:七种自同在偶氮三嗪类型的反应性分散染料用于准备棉花打印的糊状物。测试了印刷棉织物的特性,例如颜色深度,固定值,颜色牢度,热迁移和拉伸强度。结果表明,印刷的棉织物表现出良好的颜色产量,亮度,水平以及对有机溶剂提取的良好耐药性。印刷棉织物的固定值达到67%-84%,染料迁移值仅为2.4%至3.8%。 be⁃边,肥皂,摩擦和升华的颜色牢固度高于4级,表现出极好的col⁃或坚固的特性。

关键词:反应性分散染料;棉织物;印刷;颜色牢度

当棉织物用反应性染料染色时,染料分子通过化学反应与棉纤维形成共价键[1-2]。结果,染色的棉织物通常表现出良好的洗涤牢度[3]。但是,在染料固定过程中,染料的反应性基团可能会进行水解,从而使一些染料分子无法与纤维反应[4]。这些非反应性染料只能通过弱相互作用(例如氢键和范德华力)与纤维表面结合,从而导致棉布上的表面漂浮的颜色[5]。因此,染色后需要彻底洗涤才能去除浮动颜色。否则,染色织物的颜色牢固度将受到显着影响[6]。

反应性分散染料是指一类染料,其中疏水性发色团与反应性基团有关[7]。与常规的反应性染料不同,反应性分散染料不包含结构中的水溶液基团,例如磺酸基团[8-9]。因此,用反应性分散染料染色的织物通常表现出更好的洗涤牢度。这项研究的重点是七种偶氮 - 三嗪反应性分散染料,这些染料被配制为印刷糊状并应用于棉织物的印刷。测试了印刷织物的k/s值,固定速度和颜色牢度。此外,研究了染料结构与其染色行为之间的结构 - 性能关系。

收到的日期: 2024年5月27日; 修订日期: 2024年8月26日

资金:
中国国家自然科学基金会(第22278377号赠款);
省省自然科学基金会(授予LY22b060005);
智格科技大学的基础科学研究项目(赠款号24202101-y)

作者信息:
江华 (生于1988年),男性,副教授,博士,主要从事高性能染料合成和应用的研究。
电子邮件: [email protected]


1个实验部分

1.1材料,试剂和仪器

材料:
普通织造的棉布(115 g/m²)

试剂:
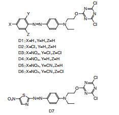
自合成的染料D1 – D7,硫酸钠,碳酸氢钠,尿素,藻酸钠,碳酸钠,肥皂片, n,n- - 二甲基甲酰胺(DMF),分散剂NNO,0.2 mm锆珠(商业)

染料D1 – D7的结构:
(未显示结构,请参阅参考[10])

仪器:

  • 迷你MDF/767磁性棒印刷机(Wenzhou Darong Textile Instrument Co.,Ltd。)

  • DHG-9076一个恒温干燥烤箱(上海Jinghong实验设备有限公司)

  • UV-2501 UV可见分光光度计(日本shimadzu)

  • sF600X分光光度计/颜色匹配仪器(美国D在acolor,美国)

  • sW-24一个ⅱWAsH牢固测试仪(Wenzhou Darong Textile Instrument Co.,Ltd。)

  • Y571L摩擦牢度测试仪(Laizhou Electronic Instrument Co.,Ltd.)

  • YG(B)605D熨烫升华牢度测试仪(Wenzhou Darong Textile Instrument Co.,Ltd。)

1.2打印糊的准备

将染料(5 g),分散剂NNO(10 g),去离子水(40 mL)和锆珠(30 g)添加到实验室尺度的微粒设备中。将混合物在室温下接地1小时,然后过滤以获得染料分散。将去离子水添加到滤液中,以使最终体积达到80毫升。

至4 mL,8 mL,12 mL,16 mL和20 mL这种染料分散剂,硫酸钠(0.75 g,3%),碳酸氢钠(0.5 g,2%)和尿素(2 g,8%),并搅拌并搅拌直至完全溶解固体。然后,加入藻酸钠(0.55 g,2.2%),并加入去离子水以使总质量达到25 g(100%)。将混合物进一步搅拌1小时,以获得含有1%,2%,3%,4%和5%的染料浓度的印刷糊。

1.3打印方法

在室温下,使用磁打印机将准备好的印刷糊(25 g)应用于棉布(25 g,10 cm×20 cm)上,以创建色块。将印刷织物在60°C下干燥10分钟,然后在102°C蒸10分钟。冷却至室温后,用自来水冲洗织物并肥皂(浴比1:50,肥皂片5 g/l,碳酸钠2 g/l,80°C,30分钟),然后用自来水彻底洗涤并干燥以获得印花棉织物。

1.4测试方法

1.4.1确定颜色深度和水平

使用颜色匹配分光光度计测量印刷织物的k/S值曲线,并记录最大吸收波长的k/S值。每个样品进行了三次测试,并采用平均值。

还使用相同的设备测量了棉布上的十个随机位置,以计算颜色差(ΔE),以反映染色水平。

1.4.2确定固定率

将印刷的织物浸入120°C的10 mL DMF中,并观察到溶液的颜色。 10分钟后,如果溶剂从最初的无色和透明的颜色转化为颜色,则反复将其替换为新鲜的无色溶剂,直到在溶剂相中没有再出现颜色。然后用自来水彻底冲洗织物并干燥。使用公式(1)计算固定率:

固定率 = (( k / S 2 / (( k / S 1 (k/s)_2/(k/s)_1 ×100%(1)

在哪里:

  • (k/s)_1是溶剂处理前的k/s值

  • (k/s)_2是溶剂处理后的k/s值

1.4.3迁移抵抗试验

将一块印刷的棉布(样品A)与具有相同尺寸的未经处理的棉布紧密缝合在一起(样品B)。将织物放入染料浴中(浴比1:30,pH = 9),并在90°C处理1小时。冷却后,使用公式(2)计算迁移率:

迁移率(M) = (( K / S B / (( K / S A (k/s)_b/(k/s)_a ×100%(2)

在哪里:

  • (k/s)_a和(k/s)_b分别是样品A和样品B的K/s值。

1.4.4确定颜色牢度

肥皂牢度 根据印刷棉布的织物的测试 GB/T 3921-2008 纺织品 - 颜色牢度的测试 - 用肥皂或肥皂和苏打 .
摩擦牢度 经过根据 GB/T 3920-2008 纺织品 - 颜色牢度的测试 - 颜色牢固度摩擦 .
升华牢度 经过根据 GB/T 5718-1997 纺织品 - 颜色牢度的测试 - 干热的颜色牢度(不包括按压) .
轻度牢度 根据 GB/T 8427-2008 纺织品 - 颜色牢度的测试 - 颜色牢固到人造光:Xenon弧 .

1.4.5机械性能测试

打破力量 休息时伸长 根据织物的测试 GB/T 3923.1-2013 纺织品 - 织物的拉伸特性 - 第1部分:使用带状方法确定最大力和最大力的伸长率 .

2结果和讨论

2.1印刷棉织物的颜色特征

使用染料D1至D7制备颜色糊状物,并在印刷和洗涤后获得相应的印刷棉织物。所得的织物以黄色,橙色,红色,紫色和蓝色的色调显示出生动而深的阴影,这些色调通常与染料在有机溶剂中的外观一致。

表1 当糊状物中的染料质量分数为3%时,列出了印刷棉织物的颜色参数。

表1 : 棉织物的颜色参数由染料D1 – D7印刷

最小值 k/s值 在七种印刷棉织物中,有 5.4 ,最多是 12.0 .
L *值范围 26.4至77.0 ,通常显示 逐渐减少 从染料D1到D7。
a *值范围 8.8至41.8 ,所有这些都是积极的,表明所有七个织物均表现出 红色的色调 .
b *值范围 -16.6至72.0 。其中,织物用染料印刷 D1至D5 *值,表明 淡黄色的色调 , 尽管 D6和D7 负b *值,显示一个 蓝色的色调 .
色差(∆E) 值范围为 0.26至0.37 ,所有小于0.5,表明染料D1 – d7产生 出色的水位染色特性 在棉织物上。

2.2印刷棉织物的固定性能

使用印刷棉织物的固定效果 有机溶剂剥离方法 .
印刷的面料沉浸在 N,N-二甲基甲酰胺(DMF) at 120°C持续10分钟 。治疗后,溶剂显示出明显的颜色,表明 未反应的染料 溶解在DMF中。
但是,织物仍然保留 深色残留颜色 ,即使经过高温DMF处理,也是如此。
这意味着其余的染料 与纤维化学结合 ,证明印刷的面料有 良好的固定性能 .
固定率 根据剥离之前和之后根据K/S值计算,结果列在 表2 .

表2 : 染料D1 – D7印刷的棉织物的K/S值和固定速率

在颜色糊状的染料浓度为3%时, 固定率 印刷面料的范围 67%至84% .
其中,面料印有 染料D4 最高的K/S值和固定率 .
这些结果与固定性能一致 常规水溶性三嗪的反应性染料 关于棉织物[1],表明 合成的反应性分散染料 展出 强烈的反应性 用棉花。

2.3染料​​浓度对印刷性能的影响

与不同的颜色糊状 染料浓度 准备研究集中度如何影响印刷性能。结果显示在 表3 .

服用 染料D1 例如:
当糊状物中的染料质量分数从 1%至3% ,面料 k/s值 2.2至5.7 .
进一步增加了浓度 没有显着增强 K/s值,表明 纤维表面接近饱和 .
固定率 仍然在上面 80% 即使浓度从1%增加到5%。
染料 D2 – D7 显示出类似的趋势 K/S值和固定率 染色D1。他们之中, 染料D4 达到了 最高固定率 (81%–85%),而其他 65%至78% .

这表明 固定速率主要取决于染料的分子结构 , 尽管 染料浓度 在颜色糊状物中 影响力较小 关于固定效率。

表3
染料D1 – d7在不同浓度下印刷的棉织物的k/s和固定值

2.4印刷棉织物的染料迁移

印花棉织物在与白色棉织物的同一浴室中进行了处理。根据白色织物的颜色吸收评估染料迁移的程度。测试后,在水相中未观察到颜色,而白色棉织物仅表现出略微颜色。根据处理后印刷和白色棉织物的K/S值,计算了印刷织物的染料迁移速率,如图所示 表4 .

表4
由染料D1 – D7印刷的棉织物的染料迁移值

使用染料D1 – D7的印刷棉织物的染料迁移速率范围为2.4%至3.8%,均低于5%,表明耐药性极佳。这归因于染料和棉纤维之间的共价键,从而防止染料易于与纤维分离,从而有效地减轻了疏水染料在织物上的迁移。

2.5印刷棉织物的颜色牢度

测试了七种印刷棉织物的颜色牢固性特性,结果显示了 表5 。在肥皂之前和之后没有明显的颜色变化,并且在相邻的织物上未观察到染色。这是由于染料分子的疏水性及其与纤维的强共价键。同样,在干燥或湿摩擦测试期间,在相邻的棉织物上也没有观察到明显的颜色,这表明织物上的染料分子不容易脱离或转移。尽管染料本身是疏水性的,但在高温升华测试下,织物的颜色保持稳定。因此,带有染料D1 – D7的印刷棉织物表现出极好的肥皂,摩擦和升华的牢固性,所有棉布都达到4 - 5年级或更高级别。但是,他们的轻度牢度相对较低,仅在3级左右。

表5
由染料D1 – D7印刷的棉织物的颜色牢固性

2.6印刷棉织物的机械性能

测试了用染料D1 -D7印刷的棉织物破裂时的破裂强度和伸长率,结果显示了 表6 .

表6
染料D1 -d7印刷的棉织物的突出强度和伸长值

如表6所示,印刷过程对棉织物的机械性能有一定的影响。对照组中的原始(未印刷)棉布的破裂强度为314 N,而突破时的伸长率为31.0%。与对照相比,染料D1 – D7的印刷织物的断裂强度略微降低至276–296 N,降低了5.7%–12.1%。织物强度的这种损失可能是由印刷糊的碱性环境引起的[11]。打印棉织物的破裂时的伸长率在30%至33%之间,与对照组相比,变化很小。

3个结论

(1)使用自准备的反应性分散染料D1 – D7成功获得了五彩印刷棉织物。糊的配方包括:3%染料,2%碳酸氢钠,8%尿素,2.2%藻酸钠和其余水。打印过程中的蒸蒸温度为102°C,蒸时间为10分钟。

(2)印刷棉织物具有出色的色彩牢度性能。固定率从67%到84%不等,染料迁移率仅为2.4%至3.8%。印刷织物获得了4级或更高级别的颜色牢度,以肥皂,摩擦和升华。

参考:

[1] Wang Zhengkai,Zhang Hongjuan,Wang Huiqiang等。与多个反应性基团合成绿色反应性染料及其在丝绸织物上的应用性能[J]。 印刷和染色 ,2024,50(3):6-10。

[2] Yang Jingjing,Wu Cheng,Huang Fang等。具有高固定速率的反应性染料的准备和应用性能[J]。 印刷和染色 ,2023,49(12):34–38。

[3] Li D X,Gao Z Y,Zhang B等。含有乙烯基磺酮基团的低水溶性反应染料的出色固定用于尼龙染色[J]。 染料和颜料 ,2024,222:111887。

[4] Bi Haodong,Wang Ying,Zhao Xu等。杂化反应性染料 - 纤维素化合物的碱性水解理论研究[J]。 丝绸 ,2024,61(4):9-17。

[5] Wang Qiang。新型肥皂系统在反应性染料的低温肥皂中的应用[J]。 染色和整理技术 ,2024,46(1):26–29。

[6] Han Bo,Wang Yulin,Xu Jianlin等。在双重碳目标下,对反应性染料的低温快速肥皂技术的研究[J]。 编织行业 ,2024(1):40–43。

[7] Penthala R,Oh H,Park S H等。新型反应性分散染料的合成,该染料包括氨基甲酸酯和氰尿素基​​团,用于二氧化碳中的染色酰胺和棉花织物[J]。 染料和颜料 ,2022,198:110003。

[8] Zhou Tianbo,Zheng Huanda,Cai Tao等。与反应性分散的黄色染料在超临界二氧化碳中同时染色[J]。 纺织品研究杂志 ,2022,43(3):116–122。

[9]李Xueming。环氧型反应性分散染料的制备[J]。 染料和染色 ,2019,56(3):6–9。

[10]丁格奎,江华。反应性分散染料的制备和特性用于尼龙染色[J]。 现代纺织技术 ,2024,32(7):97–107。

[11] Cai Xiang,Sun Qian。讨论使用棉织物上的精炼剂DM-1130的碱性氧化一托架预处理过程[J]。 现代纺织技术 ,2017,25(2):59–62.