棉织物使用活性染料染色时,染料分子与棉纤维 发生化学反应形成共价键[1-2] ,因此,染色棉织物通常具 有很好的耐水洗色牢度[3] 。但是,活性染料的活性基团 在染固色过程中可能会发生水解,造成部分染料无法 与纤维发生反应[4] 。这些无反应活性的染料仅能以氢 键、范德华力等弱作用力与纤维结合,在棉织物表面形 成浮色[5] 。染色后需要通过充分水洗将浮色洗去,否则 会严重影响染色织物的色牢度[6] 。 活性分散染料是指疏水性发色体与活性基团相连 接的一类染料[7] 。与常规活性染料不同,活性分散染料 结构中不含磺酸基等水溶性基团[8-9] 。因此,使用活性 分散染料染色的织物具有更好的耐水洗效果。本文以 7支偶氮-均三嗪型活性分散染料为研究对象,将其分 别制成印花色浆,对棉织物进行印花,测试了印花棉织 物的K/S值、固色率和色牢度等性能,并探讨了染料结 构与染色性能之间的构效关系。
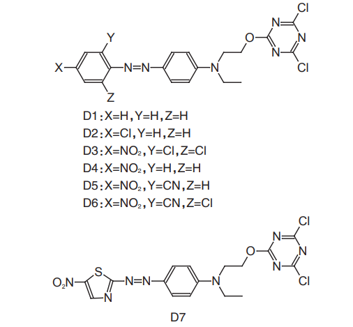
试验部分 1.1 材料、试剂及仪器 材料 平纹棉织物(115 g/m2 ) 试剂 染料D1~D7(自制),硫酸钠、碳酸氢钠、尿 素、海藻酸钠、碳酸钠、皂片、N,N-二甲基甲酰胺 (DMF)、分散剂NNO、0.2 mm锆珠(市售) 染料D1~D7的结构如下[10] :

仪器 MINI MDF/767磁棒印花机(温州市大荣纺织仪器有限公司),DHG-9076A恒温干燥箱(上海精宏 实验设备有限公司),UV-2501紫外-可见分光光度仪 (日本岛津公司),SF600X 测色配色仪(美国 Datacolor 公司),SW-24AⅡ耐洗色牢度实验仪(温州市大荣纺织 仪器有限公司),Y571L 染色摩擦色牢度仪(莱州市电 子仪器有限公司),YG(B)605D熨烫升华色牢度试验仪 (温州市大荣纺织仪器有限公司)
1.2 印花色浆的制备 将染料(5 g)、分散剂NNO(10 g)、去离子水(40 mL) 和锆珠(30 g)加入实验室微型研磨装置中。在室温下 研磨1 h后,过滤,得到染料分散液。向滤液中补充去 离子水,将分散液定容至 80 mL。将硫酸钠(0.75 g, 3%),碳酸氢钠(0.5 g,2%)和尿素(2 g,8%)加入到染料 分散液(4 mL、8 mL、12 mL、16 mL和20 mL)中,搅拌至 固体完全溶解后,加入海藻酸钠(0.55 g,2.2%),加水, 使总质量达到25 g(100%)。将混合物进一步搅拌1 h, 即得到含有染料质量分数分别为 1%、2%、3%、4%和 5%的印花色浆。
1.3 印花方法 在室温下,使用磁力印花机将配制的印花色浆 (25 g)在棉织物(25 g,10 cm×20 cm)上印制色块,60 ℃ 干燥10 min,102 ℃汽蒸10 min。冷却至室温,用自来 水洗涤织物,皂洗(浴比1∶50,皂片5 g/L,碳酸钠2 g/L, 80 ℃,30 min),自来水洗净,晾干,得到印花棉织物。
1.4 测试方法
1.4.1 颜色深度和匀染性的测定 使用测色配色仪测试印花棉织物的K/S值曲线,记 录最大波长处的 K/S 值。每个样品测试三次,取平均 值。 使用测色配色仪测试棉织物上 10 处随机位点的 K/S值,计算织物的色差(ΔE)。
1.4.2 固色率的测定 将印花棉织物浸入120 ℃的DMF(10 mL)中,观察 溶液颜色。10 min 后,若溶剂由无色透明状变为有色 状态,则用无色溶剂进行替换,直至溶剂相不再出现颜 色。取出织物,用自来水充分洗涤并晾干。固色率按 式(1)计算。 固色率=([ K/S)2(/ K/S)1]×100% (1) 式中:(K/S)1为溶剂处理前织物的K/S值,(K/S)2为 溶剂处理后织物的K/S值。
1.4.3 耐迁移性测试 将一块印花棉织物(样品A)与一块同等大小的棉 织物原样(样品B)紧密缝合在一起,放入染缸进行加热 (浴比1∶30,pH= 9),在90 ℃保温处理1 h,待冷却后,将 织物取出、洗净、干燥,测试织物的K/S值。染料迁移率按式(2)计算。
M= (K/S)B (K/S)A ×100%
(2) 式中:(K/S)A和(K/S)B分别是样品A和样品B在处 理后的K/S值。
1.4.4 色牢度的测定 印花棉织物的耐皂洗色牢度按 GB/T 3921—2008 《纺织品 色牢度试验 耐皂洗色牢度》进行测试,耐摩擦 色牢度按 GB/T 3920—2008《纺织品 色牢度试验 耐摩 擦色牢度》进行测试,耐升华色牢度按 GB/T 5718— 1997《纺织品 色牢度试验 耐干热(热压除外)色牢度》 进行测试,耐日晒色牢度按 GB/T 8427—2008《纺织品 色牢度试验 耐人造光色牢度:氙弧》测定。
1.4.5 机械性能测试 织物断裂强力和断裂伸长率按GB/T 3923.1—2013 《纺织品 织物拉伸性能 第1部分:断裂强力和断裂伸长 率的测定(条样法)》进行测试。
2 结果与讨论
2.1 印花棉织物的颜色特性 使用染料D1~D7配制色浆,随后对棉织物进行印 花,在水洗晾干后得到的印花棉织物具有较深的颜 色,分别呈黄、橙、红、紫和蓝等颜色,这与染料在有机 溶剂中的颜色基本一致。表1列出了色浆中染料质量 分数为3%时印花棉织物的颜色参数。

7 块印花棉织物的最低 K/S值为 5.4,最高为 12.0。 L*值范围在 26.4~77.0,且由 D1 至 D7 基本呈逐渐下降的趋势。a*值范围为 8.8~41.8,均为正值,表明 7 块印 花棉织物的颜色偏红光。b*值范围在-16.6~72.0。其 中:染料D1~D5印花棉织物的b*值为正值,表明这些棉 织物的颜色偏黄光;染料D6和D7印花棉织物的b*值 为负值,即偏蓝光。7 块印花棉织物的色差∆E 值为 0.26~0.37,均小于 0.5,表明染料 D1~D7 在棉织物上可 以获得良好的匀染性能。
2.2 印花棉织物的固色效果 采用有机溶剂剥色法来检验印花棉织物的固色效 果。将印花棉织物投入 120 ℃的 N,N-二甲基甲酰胺 中,保持10 min后,可以看到有机溶剂相会出现一定程 度的颜色。这是由于棉织物上未能与纤维反应的染料 溶解在DMF中的结果。但是,棉织物上仍残留很深的 颜色,这部分颜色即使再使用高温DMF处理,也不会脱 落下来。这表明棉织物上剩余染料与纤维发生了化学 反应,印花棉织物具有良好的固色效果。根据剥色前 后棉织物的色深值计算得到印花棉织物的固色率,结 果如表2所示。

在色浆中染料质量分数为3%时,染料D1~D7印花 棉织物的固色率达到67%~84%。其中,染料D4印花棉 织物的色深值与固色率最高。该结果与常规水溶性三 嗪型活性染料对棉织物的固色率水平相符[1] ,表明自制 的活性分散染料与棉织物具有良好的反应能力。
2.3 染料质量分数对棉织物印花效果的影响 分别配制含有不同质量分数染料的色浆,对棉织 物进行印花,探究染料浓度对棉织物印花效果的影响, 结果如表3所示。以染料D1为例,当色浆中染料D1质 量分数由1%增加至3%时,棉织物的K/S值由2.2提升 至5.7。进一步增加染料D1质量分数,棉织物K/S值不 再显著增加,表明此时纤维上染料已趋于饱和。当色 浆中染料D1质量分数由1%增加至5%时,印花棉织物 的固色率均能保持在80%以上。染料D2~D7印花棉织 物的K/S值及固色率具有与染料D1相似的变化趋势。 其中,染料D4印花棉织物固色率最高(81%~85%),其 他染料印花棉织物固色率稍低(65%~78%)。可见,棉 织物固色率主要由染料结构所决定,色浆中染料质量 分数对棉织物固色率的影响较小。

2.4 印花棉织物的染料迁移性 将印花棉织物与白色棉织物同浴处理,根据白色 棉织物得色情况来评判印花棉织物的染料迁移率。试 验结束后,水相没有出现颜色,而白色棉织物得色也很 浅。根据处理后印花棉织物和白色棉织物的色深值, 计算得到印花棉织物的染料迁移率,结果如表4所示。

染料 D1~D7 印花棉织物的染料迁移率为 2.4%~ 3.8%,均在5%以下,表明印花棉织物具有优异的耐迁 移特性。由于染料D1~D7可以通过共价键形式与棉纤 维进行结合,使染料不易从纤维上解离,从而有效缓解 了织物上疏水性染料的迁移现象。
2.5 印花棉织物的色牢度 测试了7块印花棉织物的色牢度性能,结果如表5 所示。其中,印花棉织物在皂洗前后颜色无明显变化, 且对棉贴衬和羊毛贴衬无沾色,这得益于染料分子本 身的疏水特性及其与纤维的共价键牢固结合方式。在 印花棉织物上进行干摩擦或湿摩擦的棉贴衬也无明显 颜色,这表明棉织物上的染料分子难以脱落或转移。 虽然染料本身呈疏水性,但是高温升华测试中棉织物 的颜色没有明显改变。因此,染料D1~D7印花棉织物 的耐皂洗、耐摩擦和耐升华色牢度均可达 4~5 级及以 上。不过,这些染色棉织物的耐日晒色牢度不高,仅为 3级左右。

2.6 印花棉织物的机械性能 测试了染料D1~D7印花棉织物的断裂强力和断裂 伸长率,结果如表6所示。

由表6可知,本文采用的印花处理方法对棉织物机 械性能尚存在一定的影响。其中,对照组棉织物原布 的断裂强力为314 N,断裂伸长率为31.0%。与对照组 相比,染料 D1~D7 印花棉织物的断裂强力略下降,为 276~296 N,强力下降幅度为 5.7%~12.1%。织物强力的损失可能是由于印花色浆的碱性环境造成的[11] 。印 花棉织物的断裂伸长率范围为30%~33%,与对照组相 比变化不大。
3 结论 (1)使用自制的活性分散染料D1~D7配制成色浆 对棉织物进行印花,可获得多色印花棉织物。色浆配 方为:染料3%,碳酸氢钠2%,尿素8%,海藻酸钠2.2%, 剩余为水。印花时汽蒸温度102 ℃,汽蒸时间10 min。 (2)印花棉织物具有良好的颜色坚牢度,固色率为 67%~84%,染料迁移率仅有2.4%~3.8%,耐皂洗、耐摩 擦与耐升华色牢度达到4级以上。
EN
中文
ES




.jpg)










